在高通量細胞培養中,細胞生長狀況和能量代謝的監測是一項費時費力的工作。本篇文章中,我們介紹了CYTENA BPS的高通量微型生物反應器S.NEST,并展示了溶氧(DO)和pH實時監測功能的可靠性。DO值與倍增時間和細胞活率有關,pH值與細胞代謝有關。使用S.NEST測定DO和pH值,可以在不受干擾的情況下預測細胞的生長和代謝特征,提高細胞培養效率,為工藝開發提供了良好的平臺。
在細胞培養過程中評估細胞生長和活力十分重要,技術的進步使離線細胞監測成為可能,與在顯微鏡下手動計數相比,節省了研究人員更多的時間。然而,這種方法效率依然低下,不適合高通量或連續培養。因此,需要實現實時監控,包括激光濁度、吸氧速率(OUR)、溶解氧(DO)和pH值等。
溶解氧和pH值的測量已廣泛應用于生物反應器的在線監測。它是分析細胞生長和代謝的必要條件。DO水平隨生物量的增加而降低,這與細胞呼吸和OUR有關。隨著細胞呼吸和葡萄糖代謝產生更多的CO2和乳酸,pH值會降低。這兩個工藝參數是細胞評估的關鍵指標,并已被廣泛用于大型培養平臺,包括搖瓶和生物反應器。但大規模培養勞動強度大,耗時長。
S.NEST微生物反應器的開發目的是通過在較小的范圍內提供強大的實時監控來解決這些挑戰。它有四個腔室,每個腔室由加熱模塊、水托盤、濕度和二氧化碳傳感器組成,以獨立控制每個腔室的環境(圖1A)。可利用S.NEST蓋子實現細胞的混合培養。專利蓋子上的冷凝設計能有效地減少蒸發(圖1B)。S.NEST蓋子的96或24流體通道可以通過氣動混合使培養基更均勻(圖1C)并通過固定在微孔板底部的光學傳感器點監測DO和pH(圖1D)。
圖1 (A) S.NEST培養系統包含4個獨立的腔室。(B)可消耗的S.NEST蓋子,帶有防止蒸發的冷凝設計。(C)S.NEST蓋子混和培養基,使培養體系更加均勻。(D) S.NEST系統實時監測DO和pH。傳感器點附著在微孔板底部。
細胞分別以2.5x105 /mL、5x105 /mL和1x106 /mL的密度接種于24孔板中,并加入培養基作為對照(圖2A)。連續監測8 天 DO和pH。我們發現每個DO和pH曲線都有兩個轉折點。各組的DO和pH曲線在開始時均下降(圖2)。各DO和pH組的性能下降與細胞密度有關。高接種密度組的DO和pH下降趨勢大于低接種密度組(圖2A)。在第一個轉折點,DO和pH的下降曲線變平緩,可能是由于細胞生長狀況和細胞代謝的變化。在培養期后期,觀察到第二個轉折點,各組的DO和pH曲線呈上升趨勢,與細胞接種密度呈正相關(圖2A)。為了檢驗DO和pH曲線是否與細胞生長曲線相關,測量細胞生長和活率。接種密度較高的細胞總細胞密度(TCD)和活細胞密度(VCD)較高,但在培養期結束時,細胞活力較低(圖2B)。
在第4天,2.5x105 cells/mL、5x105 cells/mL和1x106 cells/mL的接種組中,倍增時間分別為41.102和136 h(圖2B)。由于在DO和pH曲線上觀察到兩個轉折點,我們進一步研究了轉折點與細胞生長曲線和代謝之間的關系。
圖2 (A)細胞密度接種示意圖。不同細胞密度下DO和pH曲線數據。(B)每隔2天測定并分析細胞總密度、活細胞密度、活率和倍增時間。數據以平均值±SEM表示。
結果顯示DO值下降到80%左右,細胞倍增時間約為30小時(圖3A-C)。與細胞接種密度有關,1 M/mL的細胞接種密度倍增時間最短,表明細胞生長最快。當細胞活率下降到90%左右時,DO值開始增加(圖3D-F)。起始細胞密度越大,轉折點出現的越早,表明細胞生長受到的阻力越大。
圖3 (A-C)用倍增時間分析不同接種密度下DO曲線的第一拐點。(D-F)分析DO的第二個轉折點,并與細胞活率進行比較。所有數據均以均數±SEM表示。
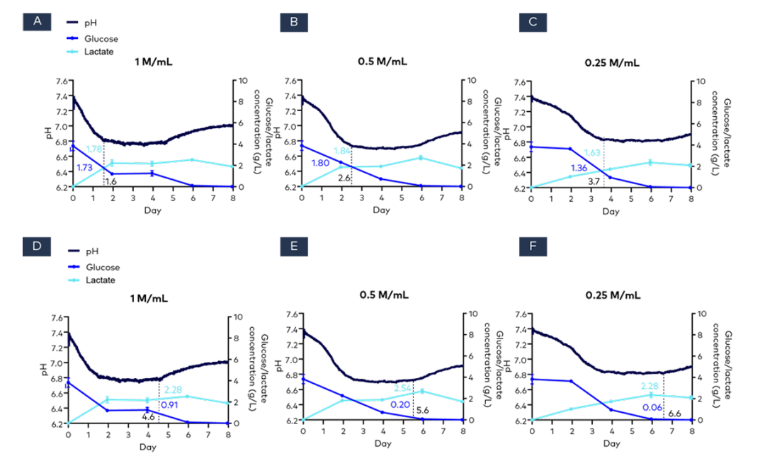
影響pH的主要原因是細胞代謝,因此測定了不同實驗組培養基中的葡萄糖和葡萄糖的含量。結果顯示pH出現第一個拐點時,培養基中乳酸和葡萄糖的量基本接近,葡萄糖含量為初始值的0.5倍(圖4A-C) 。當出現第二個拐點時,葡萄糖基本消耗完畢,而乳酸開始成為主要的供能物質(圖4D-F),因此pH開始上升。
圖4 pH值受細胞代謝的影響。收集部分培養基進行葡萄糖和乳酸濃度分析。(A-C) pH曲線的第一個拐點與葡萄糖和乳酸濃度有關。(D-F) pH曲線的第二個拐點與代謝轉換有關。所有數據均以均數±SEM表示。
利用S.NEST微型生物反應器可以優化細胞培養流程,例如克隆選擇,補料批量培養和培養基優化。在本研究中,我們證明了DO和pH值在不取樣的情況下對生長動力學和細胞代謝的評估意義,同時也證明了S.NEST培養系統的可靠性。如果在執行最佳克隆選擇和其他動態過程(如細胞培養工藝開發、提高抗體生產率)期間將具有DO和pH監測功能的系統應用于工作流程,則有巨大的參考價值。
24孔板上監測的DO和pH數據還為后期在大型生物反應器中培養提供參考,目的是優化生長動力學和細胞活性。除了優化CLD外,S.NEST培養系統在簡化T細胞擴增制造過程和pH敏感藥物藥代動力學方面顯示出巨大的潛力。S.NEST的高通量特性與統計學工具(如實驗設計方法)相結合,在工藝開發中優化工藝參數方面顯示出巨大的前景。
同騰睿杰(上海)生物科技有限公司作為 Cytena S.NEST 新一代微型生物反應器中國代理商,為您提供優質的售前售后服務。
聯系電話:021-50826962
聯系郵箱:sales@ttbiotech.com

